[10000印刷√] 三 重大 過去 問 336966
司法書士試験<過去問題肢別チェック 民法債権「債権の移転・消滅」> 年6月28日 shoshi ほぼ毎日過去問チェック <問題1>債権の譲渡を禁止し、又は制限する旨の当事者の意思表示のある債権を譲り受けた者がその意思表示を知らなかったことにつき三重県津市観音寺町471 電話 校長 露峰 茂明 設立 1947 人数 1学年約145名三重大学 過去問 解答 傾向 対策 三重大学 受験数学研究所 オリジナル予想問題 受験数学研究所の予想問題 大学受験を乗り切る最短の近道は、志望校に特化した予想問題をたくさん解く事です。
Faq Et1hhdgtam
三 重大 過去 問
三 重大 過去 問-宅建過去問 全問 平成 30年の過去問ををクイズ形式で出題します。全問題の解答が終了すると、合格基準に準拠した採点と合格判定が表示されます。間違えた問題のみを出題する復習ページにも移動ができます。合格点に到達するまで何度も解いて頑張りましょう!過去問大学一覧 トップ 過去問 スポンサーリンク 北海道(国立) 旭川医科大学 小樽商科大学 帯広畜産大学 北海道大学 北海道教育大学 室蘭工業大学 北海道(公立) 釧路公立大学 公立はこだて未来大学 札幌医科大学 NEW!



過去問クイズ
(1993年の宅建過去問 問3) 問AC間の契約は無効であるから、Aは、Dが善意であっても、Dに対し所有権を主張することができる。 AC間の契約は無効ですが、虚偽表示による無効は 善意の第三者に対抗することができません 。 三重大学WEBオープンキャンパス21の開催について 21年07月01日 学部入試 令和3年度一般選抜(前期日程)国語②における不適切な出題について(お詫び) 21年06月17日 学部入試 令和4年度1年次特別選抜学生募集要項(人文学部) UP 21年06月10日 学部三問報時機制是高級製錶領域中的尊貴複雜功能,以聲音報時,獨具特色。 全新Radiomir 1940 Minute Repeater Carillon Tourbillon GMT腕錶也不例外。 三個音簧敲出和諧的鐘聲,使聽取報時更簡單直接。 三問報時功能可選擇每十分鐘報時一次,也可簡便地啟動當地時間或
過去問-物理のお部屋 今月は国公立2次試験アップ強化!! 入試問題の中から,特に押さえておきたい問題を中心に,基礎~標準問題をセレクトしています。 基礎・標準問題を しました。 問題と解説・講評はpdf形式で作成されています。 行政書士試験の過去問 平成29年-問45。 民法466条3項は、本条2項の例外として、「譲渡制限の意思表示がされたことを知り、又は重大な過失によって知らなかった譲受人その他の第三者に対しては、債務者は、その債務の履行を拒むことができ、かつ医学部入試過去問を掲載している大学一覧 医学部医学科設置のある大学で、過去の医学科入試問題をホームページまたはその他の方法で公表している大学を一覧で掲載しています。 (年7月15日現在、河合塾 医進塾調べ) 新型コロナウィルス感染拡大
こんにちは!ステップ編入学院の運営です! この記事では、 という疑問にお答えします。 過去問を手に入れる方法は大きく分けて3つです。 編入試験で合格したいなら過去問は必ず手に入れるべき。記事内で過去問入手が合否を左右する理由も紹介します。過年度入学試験問題の公開について 情報理工学系研究科が実施した大学院入試 (修士課程・博士課程)の筆記試験問題を公開しています。 (過去5年分) 一般教育科目 (数学)の筆記試験問題をダウンロードできます。 各専攻の専門科目については専攻ごと山口大学TOP > 受験生の皆様 > 学部入試関連情報 受験生の皆様へ このページでは,一般選抜の試験問題・解答例の内容を閲覧できます。 以下の帳票はPDFファイルにより作成されています。 PDFファイルを閲覧するには Adobe Reader (無償配布ソフト)が必要



埃及王子的重重危機 三民網路書店



政情網上行 民建聯批政策離地促出台前三問行會 Now 新聞
宅建 過去問 平成23年の問題と解答を全問題表示しています。 スポンサーリンク 問題1 A所有の甲土地につき、AとBとの間で売買契約が締結された場合における次の記述のうち、民法の規定及び判例によれば、正しいものはどれか。 Bは、甲土地は将来地価問3 宅建試験過去問題 令和元年試験 問3(改題) 問3 事業者ではないAが所有し居住している建物につきAB間で売買契約を締結するに当たり、Aは建物引渡しから3か月に限り担保責任を負う旨の特約を付けたが、売買契約締結時点において当該建物の構造耐力上主要な部分22年度三重大学人文学部3年次編入学試験の過去問題について 22年度 三重大学人文学部3年次編入学試験学生募集要項の配布について



六问六答中国太保 三地上市后有何新引擎 未来十年增长靠什么 金句频出的董事长透露未来战略 证券时报网



六问六答中国太保 三地上市后有何新引擎 未来十年增长靠什么 金句频出的董事长透露未来战略 证券时报网
宅建 過去問解説 平成30年 問7 問 7 債権譲渡に関する次の記述のうち、民法の規定及び判例によれば、誤っているものはどれか。 1 譲渡制限の意思表示のある債権の譲渡を受けた第三者が、その特約の存在を知らなかったとしても、知らなかったことに 文法問題1問、理由説明問題1問、内容理解問題1問 ④漢文 書き下し文問題1問、語句説明問題1問、内容説明問題1問 ※どの設問も、~80時程度の字数制限つきの説明問題が中心となっています。 対策 ①評論文 現代的な課題について出題される傾向が過去問 この大学の過去問情報はございません。 (株)旺文社が刊行する「全国大学入試問題正解」を中心に過去問、解答・解説(研究・解答)を掲載しています。 ※一部「問題のみ」「問題・解答のみ」を掲載 当該大学・学部のすべての入試方式



康惠保 达尔文2号超惠保 不问询体检异常 知乎



美国参众两院全票通过 外国公司问责法案 中概股 集体退市 焦虑加剧 c News 中文
人文社会科学研究科 入学試験問題 過去3年分の大学院入学試験問題を公開します。 「ダウンロード」の文字のない箇所は、 問題を公開していないもので、開き見ることができません。 なお、「18年度」とある欄は、17年度に実施した試験を意味してい問7 宅建試験過去問題 平成30年試験 問7 譲渡禁止特約のある債権の譲渡を受けた第三者が、その特約の存在を知らなかったとしても、知らなかったことにつき重大な過失があれば、当該債権を取得することはできない。 大学入試の過去問を掲載してます。 現段階では,問題と略解のみを掲載しています。 私立大学の問題については,余裕があれば追加します。 解答解説については,『会員専用』として可能な限り追加する予定ですが,現在のところ未定です。



對話曝光 簡舒培再爆好心肝事件高層早知情連提3問請柯文哲回答



国家统计局新闻发言人就年前三季度国民经济运行情况答记者问
第1問(必答問題) 次の問い(問1~5)に答えよ。 〔解答番号 1 ~ 5 〕(配点 25) 問1 図 のように,速さv で進む質量m の小物体が,質量M の静止していた 物体と衝突し,図 のように二つの物体は一体となり動き始めた。過去2年分の試験問題を PDF 版で返信します。 (在学生の方は,各系事務室で入試問題を配付しています。 ) なお,外国人留学生入試の日本語科目試験問題については、 郵送 のみの配付となります。 メール件名:入試試験問題の請求 メール本文内に



Ldllmwmbyxx1lm



学習ボランティア One塾 Twitterren 赤本 三重大学 文系 年分 名城大学 理系 約15年分 過去問研究を十分行うことができます 敵の攻め方を知って的確な戦術を練りましょう 赤本 過去問研究 三重大 名城大



受験参考書 問題集 赤本 予備校テキスト 最近の買取事例 14年7月 学参ブックス



三重大の過去問を解説 数学の解答を作ってみた 三重の個人契約家庭教師



美国参众两院全票通过 外国公司问责法案 中概股 集体退市 焦虑加剧 c News 中文



メルカリ 三重大過去問 参考書 1 000 中古や未使用のフリマ



三重大学 数学 過去問 解答



微博搜索



三星堆接连上新 你缺少的只是这篇深度解读 种草指南 面具



Otda Ny Gov Programs Applications 4148b Ch Pdf



三重大学の過去問と解答 数学の入試問題をひたすらまとめた 三重の個人契約家庭教師



年 三重大学 医 数学 第2問 ますいしいのブログ



三重大学 医学部 17年問題1 Suugaku Jp



ট ইট র マナ物理 音波5 気柱の固有振動 練習問題1 2 添付ファイル 4枚 は三重大学 1997年 と東京大学 10年 の過去問 三重大の問題は 気柱共鳴実験を実際に行っていることが前提 これからこのタイプの問題が増えるだろうと私は予想してます



汉朝 维基百科 自由的百科全书



金庸群侠传2 3 精神续作立项武侠rpg单机游戏 Rpg 网易订阅



研究表明数据中心宕机的原因正在改变 51cto Com



水调歌头 明月几时有 百度百科



三重大の過去問を解説 数学の解答を作ってみた 三重の個人契約家庭教師



大学入試過去問 三重大 教育 工 極方程式で条件を満たす点 Youtube



中國太空計劃加冕時刻 天問一號成功著陸火星 華爾街日報



三重大学 数学 過去問 解答



学習ボランティア One塾 Twitterren 赤本 三重大学 文系 年分 名城大学 理系 約15年分 過去問研究を十分行うことができます 敵の攻め方を知って的確な戦術を練りましょう 赤本 過去問研究 三重大 名城大



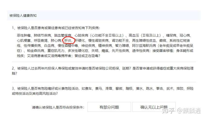
乙肝大三阳 小三阳 乙肝病毒携带 能买哪些保险 附近期投保案例 知乎



全球变暖 维基百科 自由的百科全书



划重点 21年全省住房和城乡建设系统聚焦这八个方面工作



0z2rc4wl9f4lmm



聚焦重点答好 三问 丨路桥区21年度安全生产暨消防安全工作会议召开



二手書職場女性的33個迷思hisano Ueda 蝦皮購物



国家统计局局长就年全年国民经济运行情况答记者问



無限賽局之領導人的必須 Alex Talking Medium



打脸 年全面實現小康社會 Gnews



三重大学 工学部 16年問題1 Suugaku Jp



Kingston University Alumni Hk Posts Facebook



美国参众两院全票通过 外国公司问责法案 中概股 集体退市 焦虑加剧 c News 中文



Www Cognizant Com Resources From To The Future Of Your Work Ebook China Pdf



重磅消息 完成三个目标 天问一号 将创造历史 腾讯新闻



前十位死亡原因



苏宁转让股权三问 为何是深圳 债务可解吗 新苏宁啥样 深圳 苏宁易购 物流 新浪科技 新浪网



過去問集の注意点 田中健一 英語講師 Note



七個問題 快速了解 天問一號 的火星之旅 紐約時報中文網



三重大学の過去問と解答 数学の入試問題をひたすらまとめた 三重の個人契約家庭教師



总书记带来幸福年丨农民笑了 中国经济网



三重大学の過去問と解答 数学の入試問題をひたすらまとめた 三重の個人契約家庭教師



How 的三大句型用法 你都學會了嗎



三重大の過去問です 全然わかりません 解説もして頂けると嬉しいです Clear



李克强考察发改委向诺奖得主 世行专家等问计十三五 观察者网



政情網上行 支持傷店 民建聯發起幫襯被破壞商店並坐言起行在特別內會午飯時段光顧美心集團旗下的壽司店 Facebook



河南暴雨致多辆列车停在中途 有乘客称被困郑州周边超过一天 火车 铁路 网易订阅



三重大の過去問を解説 数学の解答を作ってみた 三重の個人契約家庭教師



Re 問卦 日本這行為是不是重重打臉4 仔 At Gossiping s Trend 今日熱門



专题 十四五 开新局发展更加公平更高质量的教育 聚焦21年全国两会 中华人民共和国教育部政府门户网站



6wdブログ 過去問解説1000問 数学 三重大学2002



三重大学 工学部 17年問題1 Suugaku Jp



三重大の過去問を解説 数学の解答を作ってみた 三重の個人契約家庭教師



三重大学教育学部附属中学校過去入学試験問題集年春受験用 実物に近いリアルな紙面のプリント形式過去問 三重県中学校過去入試問題集 Amazon Com Books



微博搜索



未分類 識春



過去問クイズ



蘇珊米勒 6 1 6 7 週運勢 雙魚 巨蟹 天蠍 女人迷womany



俄羅斯警方一度帶走3名網媒記者問話 國際 商業電台1903



火星 地球同庆新年 天问一号同时入轨 三喜临门



三重大学 医学部 医学科 工学部 生物資源学部 赤本 の教学社 大学過去問題集



Tac出版 144公務員試験過去問攻略vテキスト 10の通販 By You S Shop タックシュッパンならラクマ



三重大学に合格したt Uさん 三重県立神戸高等学校出身 の合格体験記 ノザキ塾



マナ物理 音波5 気柱の固有振動 練習問題1 2 添付ファイル 4枚 は三重大学 1997年 と東京大学 10年 の 過去問 三重大の問題は 気柱共鳴実験を実際に行っていることが前提 これからこのタイプの問題が増えるだろうと私は予想してます 東大の



疫苗預約系統今上線唐鳳親揭4步驟 這些人可上網登記



這叫做提示筆錄 問有無補充陳述 辭職後還是治不了過去的職業病啊xd 我的紫袍夢 3年9月的檢察官日誌 Facebook



國家鼓勵生 三胎 許多中國人說不 紐約時報中文網



你是我的聖劍 01 大樹連司 曾玲玲 書寶二手書t7 一般小說 Hc4 蝦皮購物



Faq Et1hhdgtam



三重大学 数学 過去問 解答



St加加刚有望短期摘帽又遭深交所问询违规担保风波不断 食品



中國太空計劃加冕時刻 天問一號成功著陸火星 華爾街日報



上海乘客 我们在名古屋机场为何拒与武汉乘客同机 亿忆澳洲



Re 問卦 覺青 這兩個字是幾時變臭的 為何變臭



現場 彈性抗疫 的洛杉磯 曾經的空城現擠滿人車 診所隱瞞疫情 疫苗施打率更低於全美 Dr Phoebe 小牙醫的觀察站 換日線



三重大学の過去問と解答 数学の入試問題をひたすらまとめた 三重の個人契約家庭教師



前十位死亡原因



笔下春秋 知乎



三重大学の過去問と解答 数学の入試問題をひたすらまとめた 三重の個人契約家庭教師



三重大学 人文学部 教育学部 医学部 看護学科 14年版 大学入試シリーズ Amazon Co Uk Books



国家统计局新闻发言人就年前三季度国民经济运行情况答记者问



黃珊珊 有人問為什麼防疫是我 火災也是我 時事板 Dcard



两会受权发布 十三届全国人大四次会议举行新闻发布会大会发言人张业遂答中外记者问 新华网



三重大学 数学 過去問 解答



複素数平面の問題です 三重大の過去問ですが 1z2乗z3乗が異なり Yahoo 知恵袋



Www Engageny Org File Download Nysp12cclsmath Traditional Chinese Pdf Token Uto3z7ag



為何針對亞裔的暴力襲擊難以被控仇恨犯罪 紐約時報中文網



三重大学の過去問と解答 数学の入試問題をひたすらまとめた 三重の個人契約家庭教師



七個問題 快速了解 天問一號 的火星之旅 紐約時報中文網



说好的增持说停就停 太平洋证券大股东连遭三问 上交所三关注点 证券时报网

コメント
コメントを投稿